logo   Chimie organique - Acides nucléiques

Accueil

Logiciels et bibliographie

Programme d'étude

Cours
   Chimie organique






Les acides nucléiques sont des grosses molécules polymères dont l’unité de base, ou monomère, est le nucléotide.

  

Les nucléotides possèdent toujours trois parties fondamentales :

  • un sucre
  • un groupe phosphate
  • une base azotée.
Le groupe phosphate lie les sucres entre eux..

Il existe deux types sortes, l'acide désoxyribonucléique (ADN) qui contient l'information génétique et l'acide ribonucléique (ARN) qui en est une copie "transportable" (elle peut sortir du noyau) qui transmet l'information nécessaire pour la synthèse des protéines.
Pour l’ADN, les deux brins sont disposés pour que toutes les bases azotées soient au centre de la structure.

Cette structure en double hélice est maintenue par des liaisons hydrogène (faciles à couper et reformer)  entre les bases azotées complémentaires.

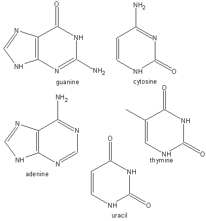
La guanine s’associe toujours avec la cytosine à l’aide de trois liens hydrogène.

L’adénine s’associant toujours avec la thymine (dans l'ADN) ou l’uracile (dans l'ARN) à l’aide de deux liens hydrogène.