logo   Stœchiométrie - Analyse élémentaire

Accueil

Logiciels et bibliographie

Programme d'étude

Cours
   Stœchiométrie



A partir de la formule d'un composé on peut connaître la quantité de chaque élément qui est présent dans le composé et inversement.

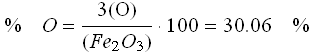
Application 1

On extrait une tonne de minerai de fer hématite (Fe2O3). En connaissant le % de fer dans Fe2O3, on trouvera facilement la quantité de fer que l'on peut obtenir:

Il y a donc 699 kg de fer dans une tonne de ce minerai.

Application 2

Il est relativement facile de déterminer la composition d'une substance. On peut alors trouver la formule brute de la substance. 

La composition d'un composé organique est la suivante: 58,8% de C, 9,8 % de H et 31,4 % de O. La masse molaire est de 204 g. Quelle est sa formule?

Marche à suivre pour trouver la formule brute :

  1. Utiliser les % pour calculer les masses de chaque élément par 100 g de composé.
  2. Convertir les masses de chaque élément en nombre de moles de ces mêmes éléments.
  3. Diviser chaque nombre de moles par le plus petit d'entre eux.
  4. Multiplier ces fractions par un même nombre pour obtenir des nombres entiers.
Calculs:

n(C) = 58.8/12.01 = 4.896          n(H) = 9.8 / 1.01 = 9.703               n(O) = 31.4 / 16.00 = 1.963

n(C) / n(O) = 2.495          n(H) / n(O) = 4.944  On trouve donc aux imprécisions expérimentales près:

5 C pour 2 O           et      5 H pour 1 O     La formule brute est donc C5H10O2.

Pour trouver la formule chimique on tient compte de la masse molaire:

M(C5H10O2) = 102 g    et comme la masse molaire est de 204, la formule chimique est  C10H20O4

Exercices

Exercice 1:Une substance a la composition suivante: 11,19% de H et 88,81 % de O. Quelle est sa formule ?   

Exercice 2:Quelle est la formule brute du chlorure de magnésium si 2,55 g de Mg se combine avec 7,45 g de Cl pour former 10 g de ce composé.   

Exercice 3: Une pièce de monnaie en argent ayant une masse de 5,82 g est dissoute dans de l'acide nitrique. Lorsqu'on ajoute du NaCl à la solution, l'argent précipite sous forme de AgCl. Le précipité de AgCl a une masse de 7,2 g. Déterminer la teneur en argent de la pièce de monnaie.   

Exercice 4:La vitamine C contient seulement C, H et O. Un échantillon de 6,49 mg donne après combustion 9,74 mg de CO2 et 2,64 mg de H2O. Quelle est la formule brute de la vitamine C?