logo   Stœchiométrie - Calculs avec des solutions

Accueil

Logiciels et bibliographie

Programme d'étude

Cours
   Stœchiométrie


De nombreuses réactions sont effectuées en solution plutôt qu'à partir de substances pures. Il est donc indispensable d'avoir une connaissance exacte de la quantité de soluté (substance dissoute) qui se trouve dans un volume donné de solution (liquide + soluté), c'est-à-dire la concentration de la solution.

On peut exprimer la concentration:

  • En g/L (grammes de soluté par litre de solution).
  • En pourcentage de masse (%-masse) (grammes de soluté par 100 g de solution).
  • En pourcentage de volume (% volume) (grammes de soluté par 100 mL de solution).
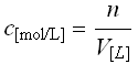
  • L'unité de concentration la plus utilisée en chimie est la molarité. Elle exprime le nombre de moles de soluté contenues dans 1 litre de solution.

Molarité = nombre de moles par litre, l'abbréviation est [M] ou [mol/L] au choix

Pour faire des calculs stoechiométriques, il faut transformer les volumes et concentrations données en nombre de moles. Pour ceci on a la formule:

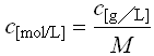
On adapte cette formule en fonction des unités choisies,  par exemple:

                              (M: masse molaire du soluté)

Exercices

Exercice 1: Combien de grammes de KCl contiennent 30 ml d'une solution 0.3 M?  

Exercice 2: On veut préparer 300 ml d'une solution 0.15 M de KOH. Combien de grammes de KOH pur faut-il?  

Exercice 3: On mélange 30 g de chlorure de sodium (NaCl) dans 30 l d'eau. Quelle est la concentration en M et en g/l de cette solution?  

Exercice 4: On veut préparer une solution exactement 5.6 % de NaCl. Comment faire? (pour env. 1 l.)  

Exercice 5: La concentration d'une solution de H2SO4 est de 0.6 M. Quelle quantité y en a-t-il dans 340 ml?  

Exercice 6: Comment peut-on faire pour préparer de l'eau oxygénée à 2 % à partir d'une solution de H2O2 30%?  

Exercice 7: On mélange dans un récipient 40 ml de NaOH 0.1 M et 50 ml de NaOH 0.5 M. Quelle est la molarité de la solution obtenue?  

Exercice 8: On verse dans un récipient 60 ml de NaOH 0.2 M et 50 ml de NaOH 5 g/l. Quelle est la molarité de la solution obtenue?  

Exercice 9: On met dans un récipient 2 g. de NaCl, 50 ml d'une solution de NaCl 1M et 10 g. d'une solution de NaCl 20%. On complète ensuite à un litre. Quelle est la concentration en g/l et en M de cette solution?  

Exercice 10: On prépare une solution en dissolvant 20,36 g de NaCl dans suffisamment d'eau pour obtenir 250 ml de solution. Quelle est la molarité du NaCl dans cette solution?  

Exercice 11: Combien de g de NaOH y a-t-il dans 30 ml d'une solution de NaOH 0,500M  

Exercice 12: On verse 9 ml de HCl 1M sur 0.25 gramme de Mg, quel est le volume de H2 dégagé à 20 °C et 740 mm de Hg?  

Exercice 13: On verse dans un jaugé de 1 litre 220 ml de NaCl 0.1M et 15 ml de NaCl 1 M. On complète en agitant au trait de jauge. Quelle est la molarité de la solution obtenue?  

Exercice 14: On introduit dans un récipient 10 ml de KCl 1M, 110 ml de KCl 0.3M et 500 ml d'eau. Quelle est la concentration de la solution obtenue après agitation? Réponse en g/l et en M.